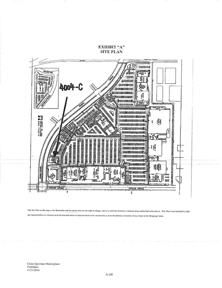
Exhibit 10.10