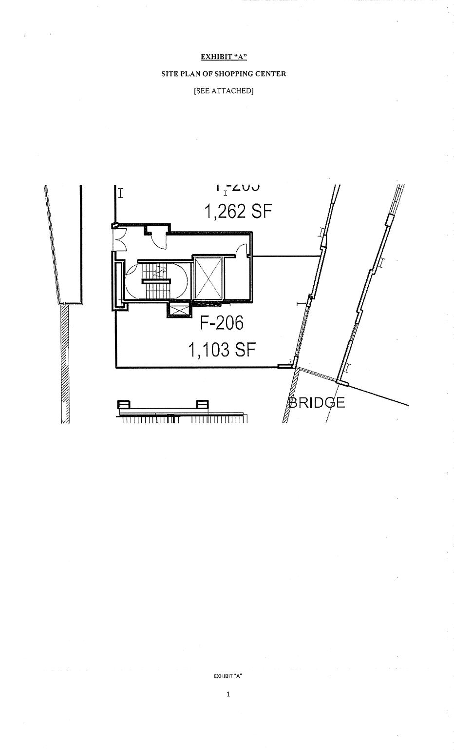
Exhibit 10.4