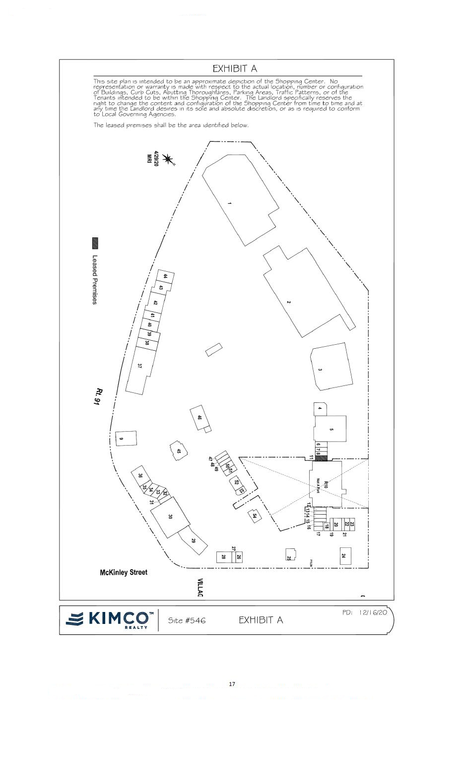
Exhibit 10.9